Αναζήτηση
ΚΛΕΙΣΙΜΟΟπτικές ίνες με μεταεπιφάνειες ή πλασμονικές νανοδομές
Δρ. Γεώργιος Κακαράντζας
Διατάξεις και αισθητήρες οπτικών ινών
- Κατασκευή και υβριδισμός φωτονικών μικροϊνών
- Υβριδικές οπτικές ίνες φωτονικών κρυστάλλων
- Οπτικές ίνες με μεταεπιφάνειες ή πλασμονικές νανοδομές
Στροφή του φωτός με Δισδιάστατα (2Δ) υλικά
Υπερμαχείς, δυναμικός έλεγχος της χειρομορφίας σε ατομική κλίμακα
Εισαγωγή: Γιατί να ελέγξουμε τη χειρομορφία;
Η χειρομορφία — το «δεξιόστροφο» ή «αριστερόστροφο» στρίψιμο του ηλεκτρικού πεδίου του φωτός καθώς αυτό διαδίδεται — άλλοτε θεωρούνταν εξειδικευμένο ζήτημα, αλλά έχει πλέον κεντρικό ρόλο στη σύγχρονη φωτονική:
- Βιοαισθητήρες χειρομορφίας: Πολλά μόρια είναι χειρομορφικά και απαιτούν στροφορμικό, κυκλικά πολωμένο φως προς ανίχνευση.
- Κβαντική πληροφορία: Η κωδικοποίηση κβαντικών bit μέσω της στροφορμής του φωτός επιτρέπει ασφαλή επικοινωνία.
- Valleytronics & spintronics: Σε υλικά όπως TMDCs ή τοπολογικούς μονωτές η χειρομορφία ξεκλειδώνει επιλεκτικές διεγέρσεις κοιλάδων ή spin.
- Προηγμένη απεικόνιση: Η απεικόνιση κυκλικού διχρωισμού και η βελτίωση της αντίθεσης απαιτούν πολύ ακριβή έλεγχο της πόλωσης.
Παραδοσιακά, η χειρομορφία ρυθμίζεται με ογκώδη, αργά εξαρτήματα — πλάκες τετάρτου κύματος, δισκρυσταλλικούς πολωτές ή μηχανικούς περιστροφείς.
Τι θα γινόταν αν μπορούσαμε να στρίψουμε την πόλωση του φωτός ταχύτερα από οποιοδήποτε μηχανικό σύστημα, και λεπτότερα από έναν φακό;
Οι 2Δ υλικά όπως το γραφένιο και η μαύρη φωσφόρος μας δίνουν πλέον αυτή τη δυνατότητα.
Ανάπτυξη: Έλεγχος Χειρομορφίας με ατομικά λεπτές δομές
Η έρευνά μας δείχνει ότι ο έλεγχος της χειρομορφίας μπορεί να είναι προγραμματιζόμενος, υπερταχύς και πλήρως ενσωματωμένος, χρησιμοποιώντας μεταεπιφάνειες από μονής στοιβάδας γραφένιο ή μαύρη φωσφόρο.
Αυτές οι νανοδομημένες δομές:
- είναι ενεργές,
- ανταποκρίνονται δυναμικά,
- και προσαρμόζονται για το φάσμα THz και mid-IR, όπου τα παραδοσιακά συστήματα συχνά αποτυγχάνουν.
Παρακάτω παρουσιάζουμε τρεις πρωτοποριακές μελέτες που συνθέτουν μια ολοκληρωμένη αφήγηση — από τη βασική θερμική δυναμική έως τις ρυθμιζόμενες συσκευές και τους υπερταχείους εναλλάκτες χειρομορφίας.
1. Ηλεκτρονικά ρυθμιζόμενη χειρομορφία με μεταεπιφάνειες από μαύρη φωσφόρο
Αναφορά: Dynamic Control of Light Chirality with Nanostructured Monolayer Black Phosphorus for Broadband Terahertz Applications
Nikolaos Matthaiakakis, Sotiris Droulias and George Kakarantzas
Advanced Optical Materials, 10, 2102273, (2022)
Ιδέα
Η μαύρη φωσφόρος (BP), ένα έντονα ανισοτροπικό δισδιάστατο (2Δ) υλικό, δομείται σε συμμετρικά νανοτετράγωνα. Αν και το μοτίβο μοιάζει συμμετρικό, οι εγγενείς κατευθυντικές ιδιότητες της BP διαχωρίζουν τα πλασμόνια κατά μήκος των κρυσταλλικών της αξόνων. Αυτά μπορούν να συμβάλουν, δημιουργώντας αυθαίρετες καταστάσεις πόλωσης.

a) Σχηματικό του συστήματος προσομοίωσης που αποτελείται από νανοτετράγωνα BP πλευράς w = 110 nm. Η κυψελίδα της μονάδας επαναλαμβάνεται περιοδικά κατά μήκος των κατευθύνσεων x και y με περιοδικότητα p = 125 nm, σχηματίζοντας μια άπειρη συστοιχία (εδώ παρουσιάζονται μόνο εννέα κυψελίδες).
b) Εντοπισμένα επιφανειακά πλασμόνια που υποστηρίζονται από τη δομή (εδώ εμφανίζονται οι συνιστώσες κατά x και y),
c) Απόλυτη τιμή και d) φάση των συντελεστών ανάκλασης r_xx, r_yy.
e) Σχηματική απεικόνιση που δείχνει τα τέσσερα τεταρτημόρια του επιπέδου πόλωσης της πηγής σε σχέση με το νανοτετράγωνο BP. Οι μπλε και κόκκινες περιοχές αντιστοιχούν στο ανακλώμενο δεξιόστροφο (RH) και αριστερόστροφο (LH) φως αντίστοιχα.
f) Ελλειπτικότητα (η) για επιλεγμένες περιστροφές της γωνίας πόλωσης θ της πηγής, δηλαδή θ = 45° (μπλε), θ = 0°,90° (πράσινο) και θ = −45° (κόκκινο). Τα ένθετα δείχνουν τις ελλείψεις πόλωσης για τα μήκη κύματος με τη μέγιστη ελλειπτικότητα.
Εφαρμόζοντας τάση πύλης (gate voltage), οι φασματικές θέσεις αυτών των τρόπων μετατοπίζονται ανεξάρτητα, επιτρέποντας δυναμικό, ευρυζωνικό έλεγχο της κατάστασης πόλωσης του φωτός, συμπεριλαμβανομένης της μετατροπής μεταξύ γραμμικής και κυκλικής πόλωσης.

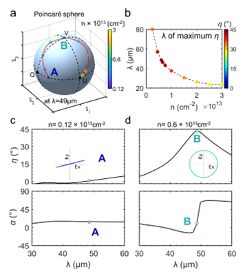
a) Σφαίρα Poincaré που παρουσιάζει τις καταστάσεις πόλωσης για ένα εύρος συγκεντρώσεων φορέων, από n = 0.12 × 10¹³ cm⁻² έως n = 3 × 10¹³ cm⁻².
b) Μήκος κύματος μέγιστης ελλειπτικότητας συναρτήσει της συγκέντρωσης φορέων. Η τιμή της μέγιστης ελλειπτικότητας παρουσιάζεται χρωματικά για κάθε μήκος κύματος. c) Ελλειπτικότητα η, γωνία περιστροφής α και έλλειψη πόλωσης για το σημείο Α (n = 0.12 × 10¹³ cm⁻²). d) Ελλειπτικότητα η, γωνία περιστροφής α και έλλειψη πόλωσης για το σημείο Β (n = 0.6 × 10¹³ cm⁻²).
Γιατί έχει σημασία
- Δεν απαιτείται μηχανική κίνηση ή περιστρεφόμενα οπτικά μέρη.
- Η συνολική διάταξη έχει πάχος μόλις μερικά νανόμετρα.
- Προγραμματιζόμενη χειρομορφία σε ευρεία περιοχή συχνοτήτων THz.
Τεχνικά Χαρακτηριστικά
- Φασματικό Εύρος: 30–80 µm (περιοχή THz)
- Μετατροπή: Γραμμική ↔ Κυκλική, Αριστερόστροφη ↔ Δεξιόστροφη
- Διαμόρφωση: Μέσω απλής ηλεκτροστατικής τάσης πύλης (gate voltage)
- Ενίσχυση: Έως 6 φορές αύξηση της αυθόρμητης εκπομπής σε πλασμονικά hotspots
Εφαρμογές
- Πολωσιμετρικοί αισθητήρες ολοκληρωμένοι σε chip.
- Δυναμικοί κυκλικοί πολωτές για επικοινωνίες THz.
- Ενίσχυση αλληλεπιδράσεων κβαντικών πηγών στην περιοχή THz.
2. Παραγωγή Τρίτης Αρμονικής σε Πλασμονικές Μεταεπιφάνειες από Γραφένιο
Αναφορά: Dynamic Control of Nonlinearly Generated Light Chirality with Nanostructured Graphene
Nikolaos Matthaiakakis, Sotiris Droulias and George Kakarantzas
ACS Appl. Opt. Mater. 1, 952 (2023)
Επισκόπηση
Η μελέτη αυτή παρουσιάζει την πρώτη πειραματική επίδειξη παραγωγής τρίτης αρμονικής (THG) σε μία ενεργά συντονιζόμενη πλασμονική μεταεπιφάνεια από γραφένιο, που λειτουργεί στο μέσο υπέρυθρο (mid-IR). Εκμεταλλευόμενη την ισχυρή σύγκλιση του φωτός και την ενίσχυση συντονισμού που επιτυγχάνεται σε συστοιχίες νανοριβιδίων γραφενίου, η μεταεπιφάνεια εμφανίζει ισχυρή μη γραμμική μετατροπή του προσπίπτοντος φωτός από το μέσο υπέρυθρο στο εγγύς υπέρυθρο. Η διαδικασία αυτή ενεργοποιείται από την υψηλή οπτική μη γραμμικότητα τρίτης τάξης του γραφενίου, καθώς και από την έντονη εξάρτησή της από την πυκνότητα φορέων.
Σε αντίθεση με συμβατικές πλατφόρμες THG που βασίζονται σε ογκώδη υλικά ή πολυστρωματικές δομές, η συγκεκριμένη εργασία επιδεικνύει αποτελεσματική μετατροπή συχνότητας χρησιμοποιώντας αποκλειστικά ένα μονοστρωματικό φύλλο γραφενίου, δείχνοντας ότι η ενίσχυση του ηλεκτρομαγνητικού πεδίου σε νανοκλίμακα και ο εξαιρετικά λεπτός σχεδιασμός επιτρέπουν τη δημιουργία συμπαγών, επαναδιαμορφώσιμων και κλιμακούμενων μη γραμμικών φωτονικών διατάξεων.

Μηχανισμός: Μη Γραμμική Μετατροπή Συχνότητας μέσω Πλασμονικής Ενίσχυσης
- Διέγερση στο μέσο υπέρυθρο σε πλασμονικό συντονισμό
Η μεταεπιφάνεια έχει σχεδιαστεί ώστε να υποστηρίζει ένα εντοπισμένο πλασμονικό τρόπο στη συχνότητα άντλησης στο μέσο υπέρυθρο (~11.3 μm). Το προσπίπτον φως διεγείρει αυτόν τον τρόπο, δημιουργώντας ισχυρά πεδία στο επίπεδο της επιφάνειας, τα οποία περιορίζονται στα ταινίες γραφενίου. - Μη γραμμική απόκριση τρίτης τάξης στο γραφένιο
Τα ενισχυμένα τοπικά πεδία επάγουν μια μη γραμμική πόλωση τρίτης τάξης P(3)∝χ(3)E3P^{(3)} \propto \chi^{(3)} E^3P(3)∝χ(3)E3 στο γραφένιο, οδηγώντας σε σύμφωνη (coherent) εκπομπή ακτινοβολίας στην τρίτη αρμονική (~3.77 μm). Η μη γραμμική επιδεκτικότητα τρίτης τάξης χ(3)\chi^{(3)}χ(3) προέρχεται από την ενδοζωνική δυναμική των φερμιονίων Dirac και ενισχύεται σημαντικά κοντά στον συντονισμό. - Απόδοση εξαρτώμενη από τη συγκέντρωση φορέων
Μεταβάλλοντας τη στάθμη Fermi μέσω ηλεκτρικής τάσης πύλης (gating), η συνθήκη συντονισμού και η πυκνότητα φορέων προσαρμόζονται δυναμικά, επηρεάζοντας άμεσα το πλάτος και το φασματικό σχήμα του σήματος τρίτης αρμονικής (THG). - Εξάρτηση από την πόλωση και τη γωνία πρόσπτωσης
Η εκπομπή της τρίτης αρμονικής είναι ισχυρότερη για διέγερση με πόλωση TM και εμφανίζει χαρακτηριστικά γωνιακά πρότυπα, επιβεβαιώνοντας την ανισοτροπική φύση της μη γραμμικής απόκρισης.

Experimental Observations
| Parameter | Value / Observation |
| Graphene platform | Monolayer CVD graphene on SiO₂ |
| Structure geometry | Nanoribbon array, periodicity: 750 nm |
| Fundamental pump wavelength | λ ≈ 11.3 µm (mid-IR) |
| Third-harmonic output | λ ≈ 3.77 µm (near-IR) |
| Peak THG power (pulsed) | ~30 pW |
| Peak THG conversion efficiency | ~10⁻⁸ |
| Modulation with doping | THG increases with EF from 0.3 to 0.5 eV |
| Key observation | THG enhancement at plasmonic resonance |
3. Υπερταχύς, πλήρως οπτικός έλεγχος της φωτεινής χειρομορφίας χρησιμοποιώντας νανοδομημένο γραφένιο
Αναφορά: Ultrafast All-Optical Control of Light Chirality with Nanostructured Graphene
Nikolaos Matthaiakakis, Sotiris Droulias and George Kakarantzas
Advanced Optical Materials, 12, 2303181, (2024)
Επισκόπηση
Αυτή η μελέτη καταδεικνύει τον πρώτο υπερταχύ, πλήρως οπτικό έλεγχο της φωτεινής χειρομορφίας σε μια μονοστρωματική μετα-επιφάνεια γραφενίου, αξιοποιώντας τη δυναμική μη ισορροπίας των θερμών φορέων. Χωρίς καμία εξωτερική πύλη, το πείραμα δείχνει ότι η οπτική άντληση μέσου υπέρυθρου φεμτοδευτερολέπτου μπορεί να διαμορφώσει τόσο την ελλειπτικότητα όσο και την ορθότητα της πόλωσης του ανακλώμενου φωτός εντός χρονικών κλιμάκων πικοδευτερολέπτου.
Ο σχεδιασμός της μετα-επιφάνειας αποτελείται από γεωμετρικά συμμετρικές νανοδομές γραφενίου, ωστόσο ο παρατηρούμενος έλεγχος της χειραλικότητας προκύπτει δυναμικά από τη μη γραμμική εξέλιξη φάσης και πλάτους των ορθογώνιων πλασμονικών τρόπων λειτουργίας – υπογραμμίζοντας την εμφάνιση της οπτικής χειραλικότητας ως θερμικό, εξαιρετικά γρήγορο φαινόμενο σε δισδιάστατα υλικά.

Μηχανισμός: Διαμόρφωση Παρεμβολής Τρόπου που Προκαλείται από Θερμά Ηλεκτρονία
- Οπτική Διέγερση Femtosecond
Ένας παλμός αντλίας μέσου IR αυξάνει γρήγορα τη θερμοκρασία των ηλεκτρονίων στο γραφένιο (Te > 1500 K), ξεκινώντας μια παροδική, μη ισορροπίας κατάσταση. - Διαφορική Μετατόπιση προς το Κόκκινο των Ρυθμών Πλασμονίου
Η μεταεπιφάνεια υποστηρίζει δύο ασθενώς συζευγμένους πλασμονικούς τρόπους κατά μήκος ορθογώνιων κατευθύνσεων. Το αυξημένο Te μειώνει το βάρος Drude, με αποτέλεσμα μη ομοιόμορφη μετατόπιση προς το κόκκινο και διεύρυνση αυτών των τρόπων. - Εξέλιξη Φάσης & Πλάτους
Η δυναμική φασματική αναδιαμόρφωση μεταβάλλει τη σχετική φάση και το πλάτος των δύο τρόπων—διαμορφώνοντας την κατάσταση πόλωσης του ανακλώμενου φωτός του ανιχνευτή. - Αναδυόμενη χειρομορφία και εναλλαγή
Αυτό το φαινόμενο παρεμβολής φάσης εκδηλώνεται ως μια παροδική αλλαγή στην ελλειπτικότητα και την ευαισθησία, επιτρέποντας μια αναστρέψιμη εναλλαγή μεταξύ αριστερόχειρων και δεξιόχειρων ελλειπτικών καταστάσεων σε χρονική κλίμακα κάτω των 10 ps.

Κύριες Παρατηρήσεις
| Παράμετρος | Παρατήρηση / Τιμή |
| Δομή γραφενίου | Τετραγωνικά νανοδομημένα στοιχεία (~430 nm) σε SiO₂ |
| Μήκος κύματος αντλίας | ~12 µm (μέσο υπέρυθρο), παλμός 100 fs |
| Μέγιστη θερμοκρασία ηλεκτρονίων (Te) | ~1750 K |
| Μετατροπή πόλωσης | Αντιστροφή χειρομορφίας (Δχ ≈ 1.4) |
| Χρόνος μεταγωγής | <10 ps (θερμοποίηση ηλεκτρονίων-πλέγματος) |
| Μοντέλο προσομοίωσης | Χρονικά επιλυμένη FDTD με σ(ω, Te) από θεωρία |
| Μηχανισμός ρύθμισης | Αμιγώς οπτικός (χωρίς ανάγκη για ηλεκτρική πόλωση) |
Οδικός Χάρτης Ενσωμάτωσης: Μια Πλήρης Εργαλειοθήκη για Δυναμικό Έλεγχο της Πόλωσης
| Χαρακτηριστικό | Μεταεπιφάνεια από Μαύρο Φωσφόρο (BP) | Γραφενικά Νανοορθογώνια | Ταινίες Γραφενίου |
| Εκκίνηση (Trigger) | Ηλεκτρική τάση (αργή) | Λέιζερ femtosecond (γρήγορο) | Παλμός THz (FEL) |
| Χρόνος Απόκρισης | μs–ms | Κάτω από 10 ps | ~10 ps |
| Φασματικό Εύρος | 30–80 µm (THz) | 10–13 µm (μέσο υπέρυθρο) | 9.4 THz |
| Έλεγχος Πόλωσης | Αυθαίρετος (μέσω ηλεκτρικής πόλωσης) | Υπεργρήγορη μεταγωγή | Μη γραμμική απορρόφηση |
| Πάχος Δομής | Λίγα nm (μονοστρώμα + οξείδιο) | Μονοστρώμα | Συστοιχίες ταινιών μερικών μm |
Πέρα από το Τσιπ: Οι Μεταεπιφάνειες Συναντούν τις Οπτικές Ίνες
Αν και το μεγαλύτερο μέρος του ενδιαφέροντος γύρω από τις δισδιάστατες μεταεπιφάνειες επικεντρώνεται στη φωτονική πάνω σε τσιπ, η εξαιρετικά λεπτή, εύκαμπτη και επίπεδη φύση τους τις καθιστά ιδανικές για ενσωμάτωση σε συστήματα οπτικών ινών — ένα βήμα που γεφυρώνει τη σύγχρονη νανοφωτονική με τις ευρέως διαδεδομένες υποδομές οπτικών ινών.
Γιατί έχει σημασία η ενσωμάτωση με οπτικές ίνες
- Συμπαγής ενσωμάτωση: Οι 2D μεταεπιφάνειες μπορούν να μεταφερθούν απευθείας σε άκρες ινών ή να ενσωματωθούν σε συνδέσμους.
- Κατανεμημένη λειτουργικότητα: Δυνατότητα προσθήκης ελέγχου ή μεταγωγής πόλωσης σε οποιοδήποτε σημείο της ίνας.
- Απομακρυσμένη εγκατάσταση: Ιδανικό για αισθητήρες, επικοινωνίες και διαγνωστικά στο μέσο υπέρυθρο σε απαιτητικά ή απομακρυσμένα περιβάλλοντα.
- Ευρυζωνική και υπεργρήγορη λειτουργία: Συμβατότητα με συνδέσεις THz και mid-IR μέσω ινών κοίλου πυρήνα, σχήματος D ή με πλευρική στίλβωση.
Πρακτικές Διαδρομές Ενσωμάτωσης
- Άμεση μεταφορά σε επίπεδες ή κεκλιμένες άκρες οπτικών ινών
- Ενσωμάτωση σε πλευρικά στιλβωμένα τμήματα για συνεφαπτομενική σύζευξη
- Τοποθέτηση σε διακλαδώσεις ινών (π.χ. υποδοχές FC/PC ή συγκολλημένες συνδέσεις)
- Εγκλεισμός σε μικροοπτικές ή ενδοσκοπικού τύπου διατάξεις για βιοϊατρικές εφαρμογές
Αυτές οι προσεγγίσεις επιτρέπουν στις μεταεπιφάνειες να λειτουργούν όχι μόνο στον ελεύθερο χώρο ή πάνω σε υποστρώματα, αλλά και ως πλήρως ενσωματωμένα εξαρτήματα σε αισθητήρες οπτικών ινών, κόμβους επικοινωνίας και πηγές μη γραμμικού φωτός.
Βλέποντας προς το Μέλλον
Οραματιζόμαστε ίνες με μεταεπιφάνειες που:
- Μετατρέπουν δυναμικά την γραμμική σε κυκλική πόλωση και αντίστροφα
- Παρέχουν υπεργρήγορη μεταγωγή για κβαντικά ασφαλείς επικοινωνίες μέσω ίνας
- Επιτρέπουν συμπαγή συστήματα απεικόνισης στο THz πάνω σε ίνες
- Συνδυάζουν έλεγχο της χειρομορφίας εντός τσιπ και εντός ίνας στο ίδιο υβριδικό φωτονικό δίκτυο
Είτε εργάζεστε σε αισθητήρες ενσωματωμένους σε ίνες, φασματοσκοπία στο mid-IR ή επαναδιαμορφώσιμα δίκτυα επικοινωνίας, αυτές οι μεταεπιφάνειες προσφέρουν έναν νέο βαθμό ελέγχου του φωτός — ακριβώς στη διεπαφή πυριτίου, γραφενίου και γυαλιού.
Διατάξεις και αισθητήρες οπτικών ινών
- Κατασκευή και υβριδισμός φωτονικών μικροϊνών
- Υβριδικές οπτικές ίνες φωτονικών κρυστάλλων
- Οπτικές ίνες με μεταεπιφάνειες ή πλασμονικές νανοδομές
